
Phòng CSGT Công an TP Hà Nội vừa công bố danh sách 545 lượt ô tô, xe máy vi phạm giao thông trên địa bàn bị hệ thống camera AI phát hiện.
Danh sách chi tiết biển số xe vi phạm giao thông từ ngày 13/12 bị camera AI phạt nguội:









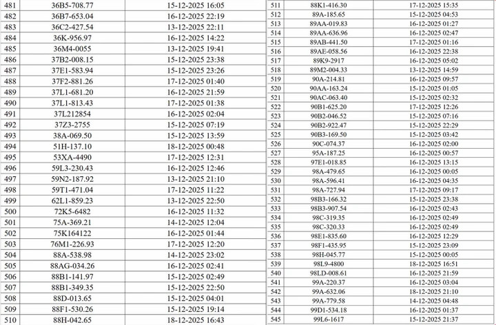
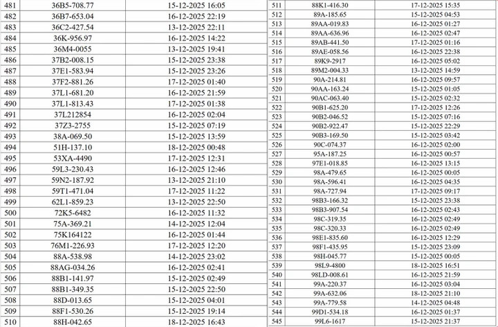
Danh sách hơn 500 xe vi phạm giao thông ở Hà Nội bị camera AI phát hiện.
Ngày 13/12, Công an thành phố Hà Nội chính thức đưa Trung tâm điều khiển giao thông Hà Nội vào hoạt động và thực hiện việc xử lý vi phạm hành chính đối với một hành vi vi phạm trong lĩnh vực trật tự, an toàn giao thông.
Qua thời gian thực hiện, hệ thống camera AI phát hiện, ghi hình hàng trăm trường hợp phương tiện vi phạm, gồm cả ô tô và mô tô.
Đến nay, Phòng Cảnh sát giao thông đã gửi 545 thông báo đến chủ phương tiện vi phạm bao gồm cả ô tô và xe máy.
Theo đó, chủ phương tiện, người điều khiển phương tiện có thể tra cứu thông tin phạt nguội trên ứng dụng VNeTraffic hoặc trang thông tin điện tử của Cục Cảnh sát giao thông - Bộ Công an tại địa chỉ www.csgt.vn, hoặc liên hệ trực tiếp Đội Chỉ huy giao thông và điều khiển đèn tín hiệu giao thông (Phòng Cảnh sát giao thông - Công an TP Hà Nội) tại số 54 Trần Hưng Đạo, phường Cửa Nam, TP Hà Nội, điện thoại: 0692.196.440 để được hướng dẫn, giải quyết.
Đối với người dân cư trú trên địa bàn Hà Nội có thể đến 14 địa điểm tiếp nhận, giải quyết kết quả thu thập được bằng phương tiện, thiết bị nghiệp vụ (phạt nguội) của Phòng Cảnh sát giao thông để giải quyết vụ việc vi phạm hành chính.
