
Độ lệch điểm giữa các tổ hợp xét tuyển
Căn cứ theo hướng dẫn chung của Bộ GD-ĐT và phổ điểm thi tốt nghiệp THPT năm 2025, Đại học Bách khoa Hà Nội công bố độ lệch điểm giữa các tổ hợp xét tuyển theo phương thức sử dụng điểm thi tốt nghiệp THPT như sau:

Theo đó, đối với các tổ hợp sử dụng để xét tuyển vào khối nhóm ngành kỹ thuật bao gồm A00, A01, A02, B00, D07, D26, D28, D29 và K01 sẽ không có độ lệch điểm.
Các tổ hợp sử dụng để xét tuyển vào khối nhóm ngành kinh tế, giáo dục, ngoại ngữ bao gồm D01 và D04 cũng không có độ lệch điểm.
Độ lệch điểm giữa các tổ hợp xét tuyển vào khối nhóm ngành kỹ thuật (A00, A01, A02, B00, D07, D26, D28, D29 và K01) và các tổ hợp sử dụng để xét tuyển vào khối nhóm ngành kinh tế, giáo dục, ngoại ngữ (D01 và D04) là +0.5 điểm vào mức điểm chuẩn khi xét cùng vào một chương trình đào tạo đối với các tổ hợp A00, A01, A02, B00, D07, D26, D28, D29 và K01.
Ví dụ chương trình FL3-Tiếng Trung Khoa học và Công nghệ đang xét tuyển với 3 tổ hợp điểm tốt nghiệp THPT là K01, D01 và D04. Nếu điểm trúng tuyển theo tổ hợp D01 là 20 điểm thì điểm trúng tuyển theo tổ hợp D04 vẫn là 20 điểm, còn điểm trúng tuyển theo tổ hợp K01 là 20.5 điểm.
Quy đổi điểm chuẩn giữa các phương thức xét tuyển
Căn cứ theo hướng dẫn chung của Bộ GD-ĐT, Đại học Bách khoa Hà Nội áp dụng phương pháp bách phân vị để tìm ra các mức điểm chuẩn tương đương giữa 3 phương thức tuyển sinh năm nay gồm: Xét tuyển tài năng, Xét tuyển theo điểm thi đánh giá tư duy và Xét tuyển theo điểm thi tốt nghiệp THPT.
Bên cạnh đó, Đại học Bách khoa Hà Nội cũng tiến hành thống kê, phân tích dữ liệu tuyển sinh của 3 năm trở lại đây, các tổ hợp xét tuyển khác nhau, phân tích phổ điểm xét tuyển tài năng theo các diện, phổ điểm bài thi TSA, phổ điểm thi tốt nghiệp THPT năm 2025 với 2 tổ hợp gốc là A00 và D01 để làm căn cứ xác định khoảng phân vị tương quan.
Bảng phân vị tương quan giữa các phương thức tuyển sinh của Đại học Bách khoa Hà Nội được xác định thông qua phương pháp Bách phân vị trên tập dữ liệu của các thí sinh có cả 2 điểm thi TSA và điểm thi THPT theo tổ hợp A00; Tập dữ liệu của các thí sinh có cả 2 điểm thi TSA và điểm thi THPT theo tổ hợp D01; Top % điểm xét tuyển tài năng diện 1.2 và diện 1.3 được tính trên tổng số thí sinh có điểm theo phương thức xét tuyển tài năng từ mức điểm sàn đến mức cao nhất; Top % điểm TSA được tính trên tổng số thí sinh có điểm TSA từ mức điểm sàn đến mức cao nhất.
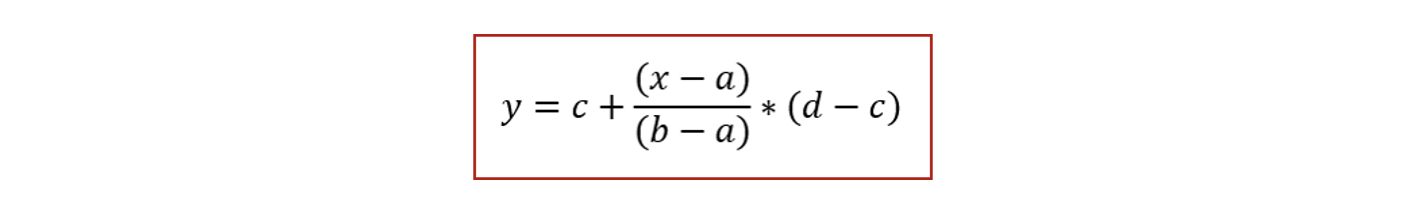
Từ Bảng phân vị tương quan với các giá trị khoảng điểm phân vị cụ thể sẽ thực hiện nội suy hàm quy đổi mức điểm chuẩn giữa các phương thức tuyển sinh khác nhau. Theo đó, từ mức điểm chuẩn 𝑥 thuộc khoảng phân vị [𝑎, 𝑏) của phương thức tuyển sinh này sẽ được nội suy tương đương sang mức điểm chuẩn 𝑦 thuộc khoảng phân vị [𝑐, 𝑑) tương ứng với phương thức tuyển sinh khác theo công thức như sau:

Bảng quy đổi điểm chuẩn tương đương cho dữ liệu năm 2025
Từ dữ liệu điểm của các phương thức đã công bố, bảng phân vị tương quan mức điểm chuẩn giữa các phương thức tuyển sinh năm 2025 của Đại học Bách khoa Hà Nội được xác định cụ thể theo 2 tổ hợp gốc là A00 và D01 như sau:


Minh họa cách tính quy đổi điểm chuẩn tương đương:
Ví dụ điểm chuẩn (điểm trúng tuyển) của ngành/chương trình MS2-Kỹ thuật vi điện tử và Công nghệ nano của Đại học Bách khoa Hà Nội theo phương thức dùng điểm thi tốt nghiệp THPT theo tổ hợp A00 là 27.68 điểm (x = 27.68). Như vậy mức điểm chuẩn này sẽ thuộc khoảng phân vị 3 (Khoảng 3) tại Bảng 1, có giá trị điểm THPT từ (27.55-28.46). Khi đó điểm chuẩn tương đương đối với điểm thi ĐGTD sẽ thuộc khoảng phân vị tương ứng (Khoảng 3) tại Bảng 1 có giá trị điểm ĐGTD từ (69.88-76.23). Từ đó xác định các hệ số quy đổi tương ứng sẽ là:
a = 27.55; b = 28.46; c = 69.88; d = 76.23
Áp dụng công thức nội suy tính điểm chuẩn tương đương đối với điểm thi TSA y từ điểm chuẩn THPT theo tổ hợp A00 x = 27.68 sẽ được tính như sau:

Tương tự, tính điểm chuẩn tương đương đối với điểm xét tuyển tài năng diện 1.2 cho chương trình MS2 sẽ thuộc khoảng phân vị tương ứng (Khoảng 3) tại Bảng 1 có giá trị điểm xét tuyển tài năng diện 1.2 từ (72.88-78.50). Khi đó các hệ số quy đổi tương ứng sẽ là:
a = 27.55; b = 28.46; c = 72.88; d = 78.50
Áp dụng công thức nội suy tính điểm chuẩn tương đương đối với điểm xét tuyển tài năng diện 1.2 z từ điểm chuẩn THPT theo tổ hợp A00 x = 27.68 sẽ được tính như sau:

Tương tự, ví dụ điểm chuẩn của ngành/chương trình EM1-Quản lý năng lượng theo phương thức dùng điểm thi tốt nghiệp THPT theo tổ hợp D01 là 22.56 điểm (x = 22.56). Như vậy mức điểm chuẩn này sẽ thuộc khoảng phân vị 5 (Khoảng 5) tại Bảng 2, có giá trị điểm THPT từ [21.65 - 22.83). Khi đó điểm chuẩn tương đương đối với điểm thi TSA sẽ thuộc khoảng phân vị tương ứng (Khoảng 5) tại Bảng 2 có giá trị điểm TSA từ [55.22 - 59.71). Từ đó xác định các hệ số quy đổi tương ứng sẽ là:
a = 21.65; b = 22.83; c = 55.22; d = 59.71
Áp dụng công thức nội suy tính điểm chuẩn tương đương đối với điểm thi xét tuyển tài năng y từ điểm chuẩn THPT theo tổ hợp D01 x = 22.56 sẽ được tính như sau:

Đối với điểm xét tuyển tài năng diện 1.2 và diện 1.3 không có khoảng phân vị tương ứng trong Bảng 2 nên điểm chuẩn tương đương đối với điểm xét tuyển tài năng diện 1.2 và 1.3 sẽ là mức điểm sàn 55 điểm.

Theo VietNamNet