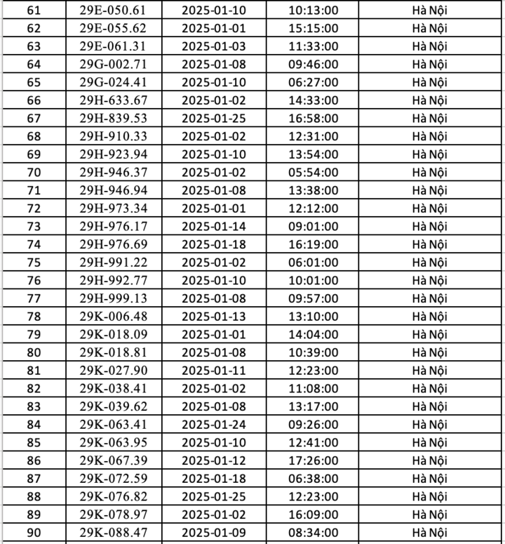
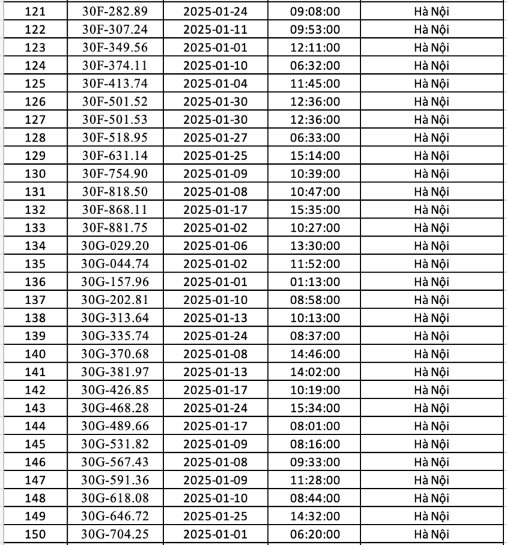
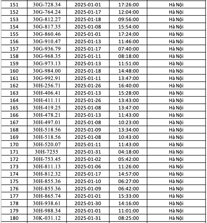
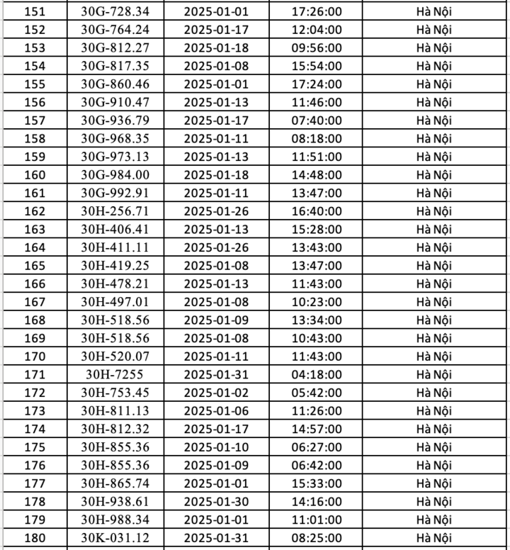
Ngày 10/2, Phòng CSGT Công an TP Hà Nội thông báo danh sách ô tô vi phạm trật tự an toàn giao thông trong từ 1/1 đến 31/1, được phát hiện qua hệ thống giám sát.
Các chủ phương tiện có tên trong danh sách có thể tra cứu thông tin vi phạm tại trang web Cục CSGT: www.csgt.vn hoặc liên hệ Đội Chỉ huy giao thông và điều khiển đèn tín hiệu giao thông - Phòng CSGT Hà Nội (54 Trần Hưng Đạo, quận Hoàn Kiếm, Hà Nội, SĐT 0692196440), hoặc liên hệ xử lý tại Đội CSGT - Trật tự, công an quận, huyện nơi đăng ký hộ khẩu thường trú.










Danh sách gần 300 lượt phương tiện bị phạt nguội ở Hà Nội trong tháng 1/2025.
Theo VTC
