Đề thi môn Toán lớp 10 tại Hà Nội năm nay được đánh giá là khá khó, nhiều thí sinh khóc oà trước cổng trường tuy nhiên cũng có nhiều em tự tin đạt điểm cao.
Cách ra đề thi năm nay có cấu trúc tương tự đề thi năm 2018, lặp lại về cách thức ra đề tức là đề thi vẫn gồm 5 bài toán lớn, mỗi bài gồm nhiều câu hỏi nhỏ, được sắp xếp theo thứ tự tăng dần độ khó.
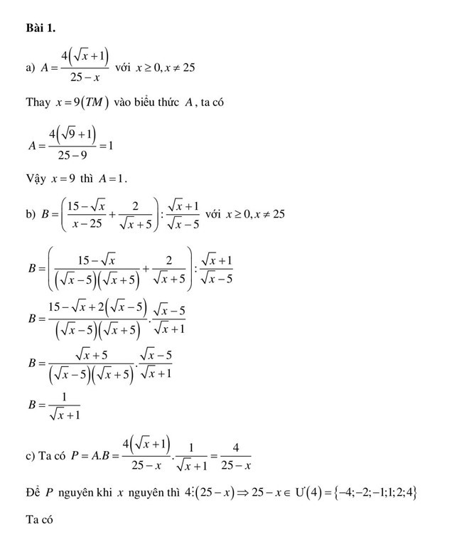
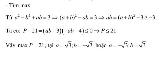
Đáp án môn Toán của các giáo viên tại Hệ thống Giáo dục HOCMAI.








Đề thi môn Toán
Theo Trí Thức trẻ
