Chủ đề

thi lớp 10

thi lớp 10

Lá thư của người mẹ gửi thủ khoa lớp 10 trước ngày thi

"Con cứ bình tĩnh, hệ thống lại những gì đã học để nhớ. Con sẽ thi tốt mà! Chúc con tinh thần sảng khoái, sức khỏe như “voi” và trí lực minh mẫn. Mẹ yêu con nhiều".

Thả cảm xúc vào 15 trang giấy, nữ sinh ở TP Hà Tĩnh giành điểm chuyên Văn cao nhất

Nguồn cảm xúc chân thật trải dài trên gần 15 trang giấy trong thời gian 150 phút làm bài đã giúp Trần Thị Như Ý - giành điểm đầu vào môn chuyên Văn cao nhất 8,25.

Chánh văn Hoàng Anh Tú: Các cha mẹ “xin hãy cho con được quyền thất bại"

Cú thất bại đầu đời với nhiều đứa trẻ 15 tuổi khi mà trong suốt 9 năm, hầu hết đều nhận giấy khen học sinh giỏi.

Điểm thi, điểm chuẩn và nước mắt người mẹ có con đạt tổng kết 9,6 đăng ký trường chuyên

Cảnh phụ huynh nóng lòng chờ điểm thi, rồi điểm chuẩn làm tôi nhớ tới người mẹ ở cổng Trường THPT Nguyễn Hữu Huân, Thủ Đức cách đây 10 ngày.

Phụ huynh có con thi vào lớp 10: Con chạy vào ôm mẹ ngủ, nhưng mẹ vội nhắc 'con không học à?'

Đó là những chia sẻ của chị Vân Nguyễn, phụ huynh có con vừa tham dự kỳ thi thi vào lớp 10 năm 2019 ở Hà Nội.

Cha mẹ ôm hôn an ủi khi con bật khóc trước cổng trường thi: Mệt rồi, mình về nhà thôi con!

Người ta thường nói, nếu muốn hiểu được nỗi lòng của cha mẹ, hãy đến cổng trường vào những mùa thi!

Tâm sự xót xa của người mẹ ung thư vẫn gắng đưa con đi thi: "Khi mẹ mất, con cứ lo cho cuộc sống của con, miễn trong tâm con có mẹ là được"

"Trên đời này ung thư không đáng sợ, chỉ sợ lòng người không vững vàng trước sóng gió cuộc đời"!

Ngày thi vào lớp 10 thứ hai: Thí sinh các tỉnh dự thi trường chuyên ở Hà Nội nhận xét đề Tiếng Anh rất dễ, tự tin được 9 điểm

Thí sinh tại TPHCM sẽ làm bài thi môn Toán. Thí sinh Hà Nội hôm nay thi môn Ngoại ngữ và Lịch sử.

Kỳ thi vào 10: Học sinh ăn vội bánh mì trước cổng trường, cha mẹ ôm hôn tiếp sức cho con trước khi bước vào phòng

Trong ngày cuối cùng của kỳ thi tuyển sinh lớp 10 tại TP.HCM, nhiều phụ huynh đã thức dậy từ rất sớm để đưa con đến điểm thi vì sợ kẹt xe.

Con ơi, bố đây này: Bức ảnh ông bố leo lên xe máy, vượt biển người để tìm con trong đám đông là hình ảnh đẹp nhất ngày thi hôm nay

Thi cử đúng là chuyện của thí sinh nhưng thực tế thì những người phải suy nghĩ nhiều nhất lại là cha mẹ.

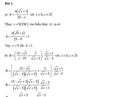
Đáp án đề thi môn Toán lớp 10 tại Hà Nội năm 2019

Đề thi môn Toán lớp 10 tại Hà Nội năm nay được đánh giá là khá khó, nhiều thí sinh khóc oà trước cổng trường tuy nhiên cũng có nhiều em tự tin đạt điểm cao.

Người mẹ bị ung thư xin viện về nhà đưa con đi thi: Con gái tha thiết mong mẹ chỉ đến 1 hôm thôi là hạnh phúc rồi!

Giữa vô vàn những bậc phụ huynh thấp thỏm ngoài cổng đợi con, có một người phụ nữ nhỏ thó đứng nép vào góc cửa đau đáu nhìn vào phía trong.

Những cái ôm ấm áp của phụ huynh Hà Nội dành cho con em trước khi vào kỳ thi tuyển lớp 10

Sáng nay, hơn 160 nghìn sĩ tử tại hai thành phố lớn là Hà Nội và TP Hồ Chí Minh bước vào kỳ thi tuyển sinh vào lớp 10 công lập.

Căng thẳng đợi con thi vào lớp 10

Sáng nay 26/5, Trường THPT Chuyên Khoa học Tự nhiên tổ chức buổi thi đầu tiên tuyển sinh vào lớp 10 năm học 2019-2020.

Thi lớp 10 ở TP.HCM, nhiều trường 4 em đăng ký 3 em bị trượt

Học sinh thi vào lớp 10 tập trung đăng ký nguyện vọng 1 vào một số trường đẩy tỷ lệ chọi lên cao, trong khi nhiều khác không đủ chỉ tiêu tuyển sinh.