![]() |
Theo quy định, Hải không được mang đề thi ra ngoài. Nam sinh cho biết, đề thi vừa sức, có ba câu cuối khó. Thí sinh này tỏ ra lạc quan với bài làm của mình.
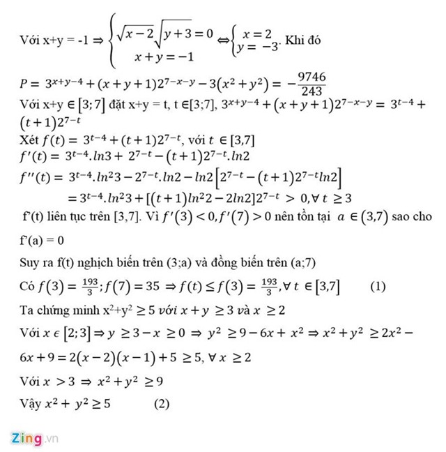
Lời giải môn Toán THPT quốc gia:





![]() |
![]() |

Theo Zing/ VTC
![]() |
Theo quy định, Hải không được mang đề thi ra ngoài. Nam sinh cho biết, đề thi vừa sức, có ba câu cuối khó. Thí sinh này tỏ ra lạc quan với bài làm của mình.
Lời giải môn Toán THPT quốc gia:





![]() |
![]() |
