Năm nay, toàn thành phố có 104.917 thí sinh đăng ký nguyện vọng 1; 101.064 thí sinh đăng ký nguyện vọng 2; 64.099 thí sinh đăng ký nguyện vọng 3. Trong số này, có khoảng gần 72.000 em sẽ vào được các trường THPT công lập (khoảng 55,7%).
Điểm chuẩn lớp 10 của Hà Nội được công bố vào ngày 8-9/7. Thí sinh xác nhận nhập học trực tuyến hoặc trực tiếp từ ngày 10-12/7. Ngày 19-22/7, những trường chưa đủ chỉ tiêu sẽ xét tuyển bổ sung.
Đề môn Toán thi lớp 10 ở Hà Nội năm 2023:

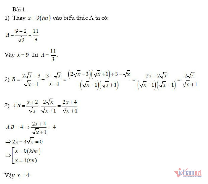
Đáp án tham khảo môn Toán thi vào lớp 10 Hà Nội năm 2023 do thầy Tô Cường, Thái Sơn, cô Đoàn Thảo và đội ngũ Giáo viên Trung tâm Toán Mathtech thực hiện:
Câu 1

Câu 2

Câu 3

Câu 5

Theo VietNamNet
